✨Bài Tập Toán Học Cao Cấp - Tập 3 - Chuỗi Và Phương Trình Vi Phân














Nội dung gồm: Chương I: Tập hợp và ánh xạ. Chương II: Cấu trúc đại số - số phức - đa thức và phân thức hữu tỉ. Chương III: Ma trận - định thức - hệ phương trình tuyến tính Chương IV: Hình học giải tích Chương V: Không gian vectơ - không gian euclid Chương VI: Ánh xạ tuyến tính Chương VII: Trị riêng và vectơ riêng của toán tử tuyến tính Chương VIII: Dạng toàn phương




Tên đề tài: Sách - Combo Toán Học Cao Cấp Tập 1 + 2 + 3 Tác giả: Nhiều tác giả Nhà xuất bản: Nhà Xuất Bản Giáo Dục Việt Nam Đơn vị phát hành:
Nội dung gồm có: Chương I. Khái quát văn học trung đại Việt Nam Chương II. Văn học thế kỉ X- thế kỉ XIV Chương III. Văn học thế kỉ XV- thế kie XVII Chương

Sách - Combo Hóa Học Vô Cơ Cơ Bản Tập 1 + Bài Tập Lí Thuyết Đại Cương Về Hóa Học (DN) Gồm 2 cuốn : Hóa Học Vô Cơ Cơ Bản Tập 1 Lí
Tên sách: Bài tập Hoá học vô cơ, Quyển III, Hoá học các nguyên tố - A. Nguyên tố tiêu biểu, B. Kim loại chuyển tiếp Tác giả: Hoàng Nhâm, Hoàng Nhuận Ngữ xuất bản:
Tên sách: Cơ Sở Lí Thuyết Các Phản Ứng Hóa Học Tác giả: Trần Thị Đà – Đặng Trần Phách Loại bìa: Bìa mềm Số trang: 504 Khổ sách: 19 x 27cm Năm xuất bản:
Tên sách: Lịch sử thế giới cận đại Tác giả: Vũ Dương Ninh, Nguyễn Văn Hồng Số trang: 564 Khổ sách: 16 x 24 Hình thức xuất bản: Tái bản Năm tái bản: 2024 Nhà
Giáo Trình Kỹ Thuật Lập Trình C Cơ Sở Và Nâng Cao Giáo trình kỹ thuật lập trình C căn bản và nâng cao được hình thành qua nhiều năm giảng dạy của các tác
Sách - Combo: Toán Cao Cấp Và Bài Tập Toán Cao Cấp Tập 1 - Đại Số Và Hình Học Giải Tích Tác giả: Nhiều tác giả Nhà xuất bản: Nhà xuất bản Giáo dục
Tên đề tài: Sách - Combo Toán Cao Cấp Tập 1 + Bài Tập - Đại Số Và Hình Học Giải Tích Tác giả Nguyễn Đình Trí (Chủ biên)- Trần Việt Dũng- Trần Xuân Hiển-
Nội dung gồm có: Chương I. Chuỗi Chương II. Phương trình vi phân Chương III. Giải bài toán Cauchy đối với phương trình vi phân tuyến tính với hệ số không đổi bằng phép biến
Sách - Combo: Toán Học Cao Cấp Và Bài Tập Toán Cao Cấp Tập 3 - Phép Tính Giải Tích Nhiều Biến Số Tác giả: Nhiều tác giả Nhà xuất bản: Nhà xuất bản Giáo
Tên sách: Bài tập Toán học cao cấp Tập hai - Giải tích Tác giả: . Nguyễn Đình Trí (Chủ biên) - . Trần Việt Dũng - . Trần Xuân Hiển - . Nguyễn Xuân
Tên sách: Toán học cao cấp Tập hai: Giải tích Tác giả: ễn Đình Trí (Chủ biên) - . Trần Việt Dũng - . Trần Xuân Hiển - . Nguyễn Xuân Thảo Số trang: 424
Tên đề tài: Lịch sử thế giới hiện đại Tác giả: Nguyễn Anh Thái (Chủ biên), Đỗ Thanh Bình, Nguyễn Quốc Hùng, Vũ Ngọc Oanh, Đặng Thanh Toán, Trần Thị Vinh Khổ sách: 16 x
Thông tin sản phẩm Tên đề tài: Lịch sử văn minh thế giới Tác giả: Nguyễn Văn Ánh Khổ sách: 16 x 24 cm Số trang: 468 trang Năm tái bản: 2022 Nhà xuất bản:
Sách - Combo: Toán Học Cao Cấp Và Bài Tập Toán Cao Cấp Tập 2 - Phép Tính Giải Tích Một Biến Số Tác giả: Nhiều tác giả Nhà xuất bản: Nhà xuất bản Giáo
Sách - Xác suất thống kê - Dành cho sinh viên các trường kỹ thuật và công nghệ Tác giả: PGS. TS. Tô Văn Ban Nhà xuất bản: Nhà Xuất Bản Giáo Dục Việt Nam
Tác giả: Hoàng Nhầm Nhà xuất bản: Nhà Xuất Bản Giáo Dục Việt Nam Ngày xuất bản: 2025 Số trang : 328 Kích thước 19 x 27 cm Loại bìa: Mềm =========================================== Nội dung :
Một nền văn học rực rỡ kéo dài gần nghìn năm – nay được hệ thống hóa và trình bày trong một công trình giáo trình bài bản, hiện đại và đầy đủ nội dung.
Tên sách: Vật lý đại cương tập 3 - Bài tập Vật lý đại cương tập 3 Tác giả: Lương Duyên Bình (Chủ biên) Khổ sách: 14.5 x 20.5 Số trang: 472 Nhà xuất bản:
Nội dung gồm có: Phần một. Cấu tạo từ Phần hai. Từ loại tiếng Việt Phần ba. Cụm từ Chương I. Khái quát về cũng từ Chương II. Cụm danh từ Chương III. Cụm động
Tác giả : Hoàng Nhâm Nhà xuất bản: Nhà Xuất Bản Giáo Dục Việt Nam Ngày xuất bản: 2025 Số trang: 292 Kích thước: 19 x 27 cm Loại bìa: Mềm =================================== Nội dung :
Tên sách: Vật lí đại cương tập 2 - Bài tập Vật lí đại cương tập 2 ( Điện dao động sóng) Tác giả: Lương Duyên Bình Khổ sách: 14.5 x 20.5 cm Số trang:
Công ty Học Liệu Sư Phạm giới thiệu: Tác giả : Nhiều tác giả Nhà xuất bản: Nhà Xuất Bản Giáo Dục Việt Nam Ngày xuất bản: 2025 Số trang: 276 Kích thước: 19 x
Combo Giáo Trình Quản Trị Học + Quản Trị Học (Bộ 2 Cuốn) Với mong muốn có được một cuốn giáo trình giảng dạy Quản trị học, nhóm tác giả đã biên soạn cuốn Giáo Trình
Giáo trình Hoá học Vô cơ này đã được viết và giảng dạy từ những năm 50 của thế kỷ trước cho sinh viên khoa Hoá học trường Đại học Tổng hợp Hà Nội trước
Thị trường chứng khoán là một bộ phận không thể thiếu trong điều kiện nền kinh tế thị trường. Từ khi thành lập đến nay, thị trường chứng khoán Việt Nam đã đạt được nhiều
Nhằm đáp ứng yêu cầu nâng cao kiến thức về hóa học hữu cơ ở bậc đại học, chúng tôi biên soạn giáo trình Hóa học Hữu cơ gồm hai tập, mỗi tập
Mô phỏng số và điều khiển các hệ cơ học được viết nhằm phục vụ trực tiếp cho học viên cao học chuyên ngành Cơ học Kỹ thuật và Cơ Điện tử. Các phần của
Chúng tôi biên soạn cuốn Giáo trình bệnh học trẻ em nhằm đáp ứng nhu cầu của sinh viên đại học ngành Giáo dục Mầm non hiện nay. Nội dung giáo trình cung cấp
Tên sách: Phong cách học tiếng việt Tác giả: Đinh Trọng Lạc (Chủ biên), Nguyễn Thái Hoà Khổ sách: 14.5 x 20.5 Số trang: 320 Năm tái bản: 2022 Đơn vị in phát hành: Công ty CP Sách Đại học -
Sách Giáo Trình Cơ Sở Mỹ Thuật Dành Cho Sinh Viên Kiến Trúc Tập 3 nhà xuất bản : xây dựng nhà phát hành : nhà xuất bản xây dựng năm xuất bản : 2021
Nội dung cuốn sách "Giáo Trình Lịch Sử Nghệ Thuật - Tập 1" bao gồm những chương mục sau đây: - Chương 1: Nghệ thuật là gì và ngôn ngữ nghệ thuật. - Chương 2:
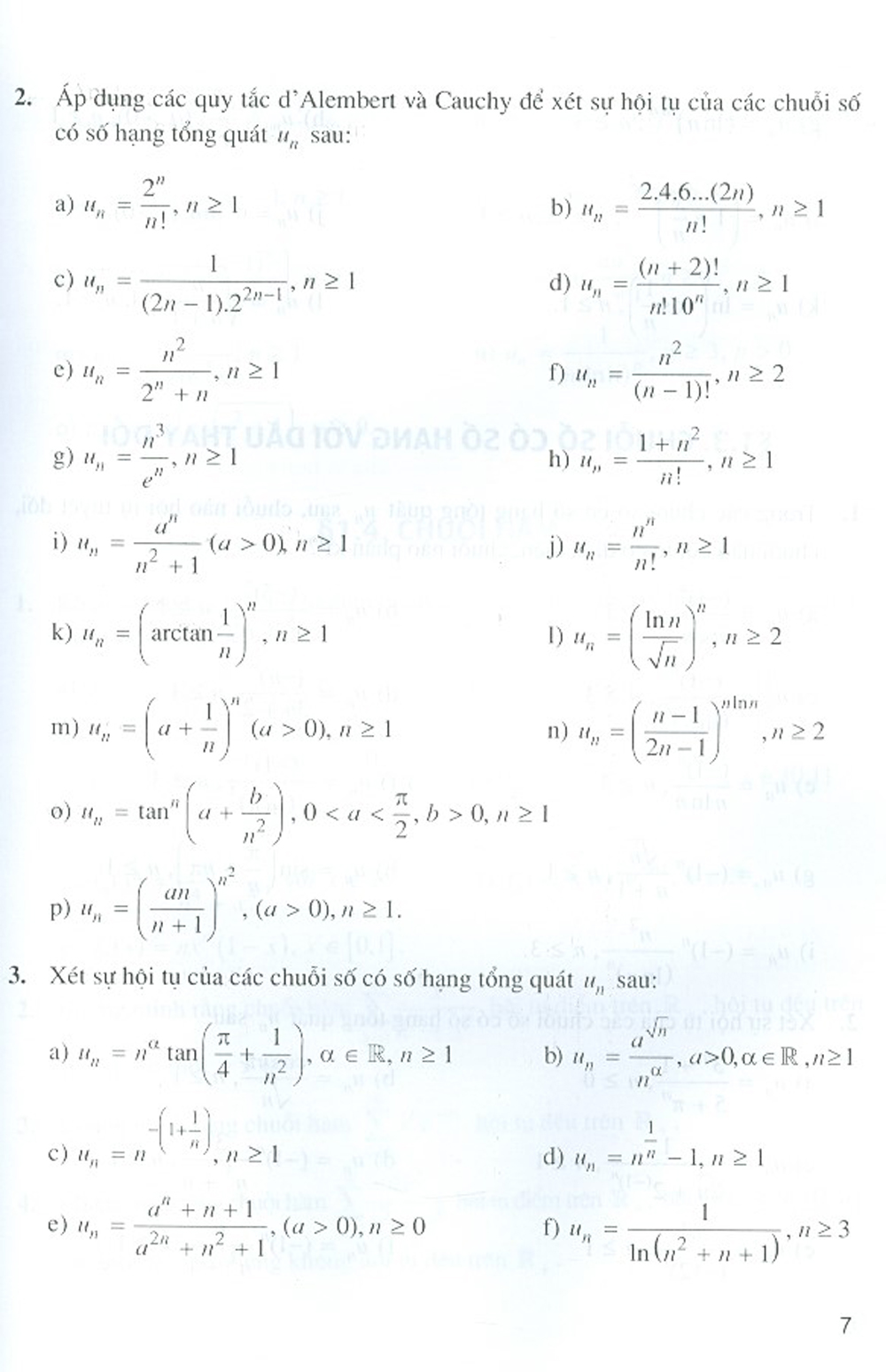
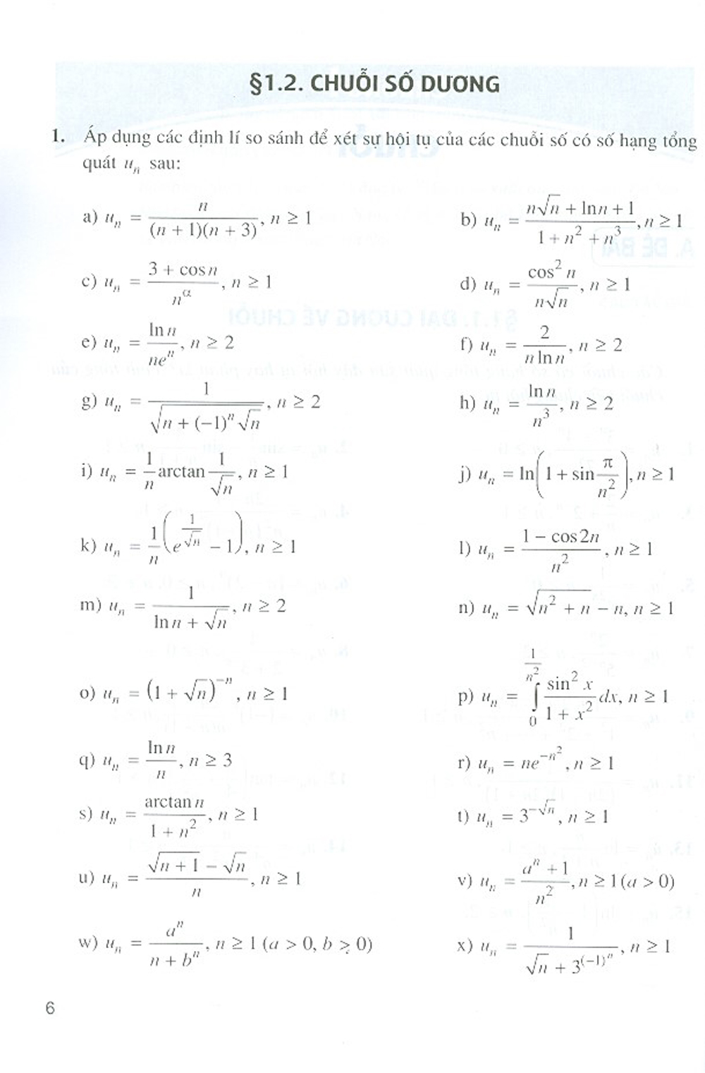
Thông thường, giữa lý thuyết và bài tập của một môn học bao giờ cũng được gắn kết chặt chẽ với nhau. Để làm được các dạng bài tập, người học cần hiểu kỹ lý
Cấu tạo kiến trúc là môn học nghiên cứu các bộ phận tạo thành ngôi nhà từ móng đến mái, từ đó biết được vị trí, tác dụng, hình dạng, kích thước, liên kết giữa
Nội dung gồm có: 1. Chuỗi 2. Phương trình vi phân 3. Giải bài toán Cauchy đối với phương trình vi phân tuyến tính với hệ số không đổi bằng phép biến đổi Laplace
Nội dung gồm có: Chương 1: Văn học, hình thái ý thức xã hội thẩm mĩ Chương 2: Văn học với hiện thực đời sống Chương 3: Ý thức xã hội trong văn học Chương
Giới thiệu những vấn đề chung của tâm lý học quản lý. Trình bày tâm lý học trong công tác quản lý cá nhân và quản lý tập thể, đồng thời phân tích nhân cách
Nội dung gồm: Chương I: Tập hợp và ánh xạ. Chương II: Cấu trúc đại số - số phức - đa thức và phân thức hữu tỉ. Chương III: Ma trận - định thức -
Sách: Động Vật Học Không Xương Sống TÁC GIẢ: Thái Trần Bái ĐƠN VỊ PHÁT HÀNH: Công ty Cổ phần Sách Đại học - Dạy nghề NXB: NXB Giáo dục Việt Nam Cấu trúc nội
Cung cấp những kiến thức cơ bản về thực trạng, các khái niệm liên quan, hình thức, yếu tố ảnh hưởng và hậu quả của bạo lực học đường. Vận dụng một số lý thuyết,
Có những nghịch lý trong hệ thống giáo dục hiện nay buộc các nhà giáo dục học phải suy nghĩ: Trong suốt cuộc đời đi học, từ lớp vỡ lòng đến hết bậc đại học
Bộ giáo trình lý luận chính trị gồm 5 cuốn dành cho bậc đại học hệ không chuyên lý luận chính trị. Bộ sách là tài liệu giảng dạy, học tập cho giảng viên, sinh
Nội dung: Chương 1: Phổ hấp thụ hồng ngoại và phổ tán xạ Raman Chương 2: Các phép đối xứng phân tử và nhóm đối xứng Chương 3: Xác định các kiểu dao động phân
Bài tập Lí thuyết Module - NXB Đại học Sư phạm Tác giả: Dương Quốc Việt (CB) – Lê Văn Đính – Đặng Đình Hanh – Đào Ngọc Minh – Nguyễn Công Minh – Trương
Giáo Trình C++ Và Lập Trình Hướng Đối Tượng Lập trình cấu trúc là phương pháp tổ chức, phân chia chương trình thành các hàm, thủ tục. Chúng được dùng để xử lý dữ liệu
Big Data - Công Nghệ Cốt Lõi Trong Kỷ Nguyên Số Khi thuật ngữ dữ liệu lớn lần đầu xuất hiện, tác giả các cuốn sách bán chạy nhất Thomas Davenport (Competing on Analytics, Analytics
Giáo Trình Lập Kế Hoạch Kinh Doanh Giáo trình này giúp sinh viên thực hiện hóa những ý tưởng kinh doanh tạo dựng một quy trình kinh doanh nhỏ bắt đầu lên những ý
Xúc tác hóa dầu:
Từ trước đến nay, chính luận luôn là nhóm thể loại báo chí với những thể loại “đại bác”, có sức nặng, giàu tính phản biện, chiến đấu, được coi trọng trong nghề báo. Tuy
Giáo Trình C++ Và Lập Trình Hướng Đối Tượng ------------ Giáo Trình C++ Và Lập Trình Hướng Đối Tượng Lập trình cấu trúc là phương pháp tổ chức, phân chia chương trình thành các
Mô Tả Sản Phẩm Nghiệp vụ hướng dẫn du lịch hiện là một môn học được giảng dạy trong hầu hết các trường có liên quan đến ngành Du lịch, giới thiệu những kiến thức
Tác giả: Ngô Thị Thuận Năm XB: 2025 ( Sách mới tái bản) Số trang: 220 Khổ sách : 19 x 27 Nhà xuất bản: NXBGDVN Chương 1. Bài tập trắc nghiệm - Bài tập
Ngày nay, điều hoà tiện nghi không thể thiếu trong các toà nhà, khách sạn, văn phòng, nhà hàng, các dịch vụ du lịch, văn hoá, y tế, thể thao mà còn cả trong các
Tên đề tài: Sức bền vật liệu (Lý thuyết và bài tập - Dùng cho các trường ĐH kỹ thuật) Tác giả: Nhữ Phương Mai Khổ sách: 16.0 x 24.0 Năm xuất bản: 2010
Vật Liệu Kỹ Thuật - Tập 2 (Chế tạo, cấu trúc, tính chất, lựa chọn và ứng dụng) nội dung gồm 6 chương: Chương 5: Tổ chức vật liệu Chương 6: Vật liệu kim loại
Công ty phát hành: Công ty TNHH Thương mại và Dịch vụ Văn hóa Hà Nội giả: Đặng Thái Hoàng - Nguyễn Văn Đỉnh - Nguyễn Đình Thi - Vũ Thị Ngọc Anh - Đỗ
Bộ môn Lý thuyết và Lịch sử kiến trúc, Khoa Kiến trúc và Quy hoạch, trường Đại học xây dựng đã cho ra mắt bạn đọc bộ sách hai tập"Giáo trình Lịch sử kiến trúc
👁️ 242 | ⌚2025-09-29 16:21:08.330
Bài tập 1-2 Chương 1 Toán cao cấp 2 EPU
Giải tích 6.4 PTVP Cấp 1: Phương trình Vi phân tách biến và 3 dạng quy về tách biến
Phương trình vi phân tuyến tính và Bernoulli
Phương trình vi phân có biến phân li và phương trình vi phân đẳng cấp
Giải tích 6.2 PTVP Cấp 1: Phương trình Vi phân Toàn phần - Phần 1
Giải tích 6.1 Nghiệm tổng quát và Tích phân tổng quát của phương trình vi phân

Bài tập 1-2 Chương 1 Toán cao cấp 2 EPU
Giải tích 6.4 PTVP Cấp 1: Phương trình Vi phân tách biến và 3 dạng quy về tách biến
Phương trình vi phân tuyến tính và Bernoulli
Phương trình vi phân có biến phân li và phương trình vi phân đẳng cấp
Giải tích 6.2 PTVP Cấp 1: Phương trình Vi phân Toàn phần - Phần 1
Giải tích 6.1 Nghiệm tổng quát và Tích phân tổng quát của phương trình vi phân

-New Design chuyên hàng thiết kế những mẫu chân váy đẹp, mới lạ, thanh lịch công sở, văn phòng, hẹn hò đều đẹp. -Sản phẩm được thiết kế bởi New Design và may tại nhà,
Công suất: 5W Điện áp: 220V/50Hz Màu ánh sáng: Trắng/Vàng Độ rọi: 700 lux - Đèn bàn LED Rạng Đông bảo vệ thị lực - Cần đèn linh hoạt điều chỉnh độ cao và góc
English Name :Screwdriver SoftFinish electric Định mức Thử nghiệm theo tiêu chuẩn IEC 60900. Ứng dụng Đối với công việc trong khu vực của các bộ phận trực tiếp lên đến 1.000 V AC.
Mã đặt hàng 00822 Size 3,5 Chiều dài (mm) 204
Thông tin sản phẩm Tên sản phẩm: D6317 Dung tích: 300ml Quy cách: 6 chiếc/bộ Xuất sứ: Pháp Sản xuất: Trung Quốc Chất liệu: - Thủy tinh - Thủy tinh sạch không chì, không chứa
Cuốn hồi ký Gia đình, bạn bè và đất nước là lời tự sự chân thành và sâu sắc của bà Nguyễn Thị Bình – nhà ngoại giao lỗi lạc, biểu tượng kiên cường của
Có Lẽ Bạn Nên Gặp Bác Sĩ Tâm Lý ------------ Có Lẽ Bạn Nên Gặp Bác Sĩ Tâm Lý Với vai trò là nhà trị liệu đồng thời phải tiến hành trị liệu, Lori
COMBO TRANH TRUYỆN EHON - NHỮNG NGƯỜI BẠN ĐỘNG VẬT CÙNG CÁC BẠN ĐỘNG VẬT DỄ THƯƠNG HỌC HỎI VỀ CUỘC SỐNG VÀ RÈN LUYỆN KỸ NĂNG CẦN THIẾT Trong cuộc sống hiện đại
Sinh Ra Là Một Bản Thể Đừng Chết Như Một Bản Sao (Tái Bản ) Nếu câu trả lời là "CÓ" thì đã đến lúc bạn nên đọc Sinh ra là một bản thể, đừng chết
tiết lộ nguồn gốc của phần lớn khoa học hiện đại về hoạt động buôn bán nô lệ xuyên Đại Tây Dương vào những năm 1700, cũng như vai trò của Thomas Edison với sự
Combo 2 Quyển Giúp Bạn Quản Lí Cuộc Sống Cá Nhân: 40 Thói Quen Xấu Cần Vứt Bỏ + 50 Bài Học Cơ Bản Để Trở Thành Người Lịch Thiệp "Nhắc tới Tokio Godo hẳn
- Bút marker chất lượng cao được thiết kế có thể vẽ nét và sắc màu rất mượt, tô êm và mịn, phù hợp với người mới học vẽ - Có thể vẽ được trên
VÀ RỒI TÍN GẬY ĐÃ ĐƯỢC TRAO ĐI Mất mẹ từ khi còn rất nhỏ, Yuko sống với bố cho tới khi học lớp Hai, cô Rika xuất hiện. Những tưởng từ đây sẽ được
Sổ bìa bồi kẻ ngang B5 300 trang Hồng Hà Subject - 4536 phù hợp cho học sinh, sinh viên, văn phòng ghi chép thông tin cần thiết. Bề mặt giấy láng mịn, viết êm
Tua vit cách điện Wiha 42376 Kích thước bit: SL 2,5 Chiều dài lưỡi: 65mm Tổng chiều dài:167mm Phù hợp với tiêu chuẩn: VDE
Mã đặt hàng :01290 Size : T10 Chiều dài : 191 mm
Bộ Sách Đắc Nhân Tâm + Quẳng Gánh Lo Đi Và Vui Sống + Nghệ Thuật Nói Trước Công Chúng 1. Đắc Nhân Tâm - Cuốn sách hay nhất mọi thời đại đưa bạn đến
Những Người Gần Như Hoàn Hảo - Sự Thật Về Phép Màu Bắc Âu Một bức tranh đa sắc và hóm hỉnh đã hiện lên, làm bừng tỉnh sự thật về vùng đất có
ENNEAGRAM CĂN BẢN Enneagram là một hệ thống tính cách đầy năng lượng và linh hoạt, miêu tả chín mô hình cơ bản khác biệt nhau về cách suy nghĩ, cảm xúc và hành động.
Món Quà Của Linh Hồn - Sức Mạnh Chữa Lành Của Những Thử Thách Trong Cuộc Sống Dù con đường của bạn có bằng phẳng hay gập ghềnh, dù cuộc đời của bạn có