✨Tuyệt Kỹ Các Thủ Thuật Giải Nhanh Vật Lý 10 - KV


















Tuyệt Kỹ Các Thủ Thuật Giải Nhanh Vật Lý 10
Sách tham khảo là bạn đồng hành không thể thiếu đối với các em học sinh. Đặc biệt là các em cuối cấp. Để giúp các em trong việc lựa chọn tập hợp các kiến thức và kỹ năng cần thiết cho kỳ thi quốc gia, các tác giả biên soạn cuốn sách Tuyệt Kỹ Các Thủ Thuật Giải Nhanh Vật Lý 10.
Hi vọng cuốn sách này là tài liệu bổ ích giúp cho các em ôn thi hiệu quả nhất trong kỳ thi quan trọng sắp tới. Sách soạn theo chuyên đề: Tóm tắt lý thuyết và phương pháp giải Các dạng bài và hướng dẫn giải chi tiết Ôn luyện và hướng dẫn giải toàn chương
Công ty phát hành Nhà Sách Khang Việt Năm Xuất Bản 10/2017 Tác Giả Trần Thanh Giang Số Trang 340 Bìa Mềm Kích Thước 19 x 27 Nhà Xuất bản NXB Thanh Hóa Barcode 8935092547077




combo phương pháp giải bài tập trắc nghiệm vật lí 1. Phương Pháp Giải Bài Tập Trắc Nghiệm Vật Lí Tập 1 Để giúp các em học sinh có thêm tài liệu tham
Sách tự học Toán học lớp 11 tập 2 chương trình mới: + Chương trình chuẩn kết hợp theo cả 3 bộ sách: Cánh Diều, Kết Nối Tri Thức với Cuộc sống và Chân trời
1. Nội dung sách Tự học Toán học lớp 10: Tập 1: - Chương 1: Mệnh đề và tập hợp (5 chủ đề) - Chương 2: Bất phương trình - Hệ bất phương trình (4
+ Chương trình chuẩn kết hợp theo cả 3 bộ sách: Cánh Diều, Kết Nối Tri Thức với Cuộc sống và Chân trời sáng tạo + Hệ thống kiến thức rõ ràng theo chủ đề
Bạn đọc thân mến! Chương trình sách giáo khoa mới có nhiều đổi mới về nội dung, cách diễn đạt. Bộ Giáo dục đã nói rõ, sách giáo khoa chỉ là tài liệu tham khảo.
- Chủ đề 1: Cấu tạo nguyên tử - Chủ đề 2: Bảng tuần hoàn các nguyên tố hoá học - Chủ đề 3: Liên kết hoá học - Chủ đề 4: Phản ứng oxi
+ Chương trình chuẩn kết hợp theo cả 3 bộ sách: Cánh Diều, Kết Nối Tri Thức với Cuộc sống và Chân trời sáng tạo + Hệ thống kiến thức rõ ràng theo 23 chủ
Sách thiết kế chuyên sâu, bám sát ma trận đề minh họa kỳ thi tốt nghiệp THPT năm 2025. Sách dành cho: - Học sinh 2K7/8/9 mục tiêu đạt điểm 8,9,10 môn tiếng Anh kì
Tháng 10 năm 2016, Bộ Giáo Dục và Đào tạo đã công bố phương pháp thi và đề thi minh họa môn Toán bằng hình thức trắc nghiệm cho kỳ thi THPT Quốc gia năm.
Kì thi Olympic 30 tháng 4 do Sở Giáo dục và Đào tạo, Trường Trung học Phổ thông Chuyên Lê Hồng Phong Thành phố Hồ Chí Minh tổ chức đã diễn ra được 26 kì
Sách - Combo Định hướng phát triển năng lực toán 9 -Tập 1+2 (bám sát sgk kết nối tri thức với cuộc sống) (HA-MK) Các thầy giáo cô giáo cùng toàn thể các em học
SÁCH - sách tham khảo hoá học 11 (dùng chung cho các bộ sgk hiện hành) Năm học 2022 – 2023 các em đã tiếp cận với Chương trình giáo dục phổ thông mới trong
Phương Trình hàm là 1 chuyên đề quan trọng trong chương trình học Toán. Các bài toán, dạng toán trong chương này đa số cũng là những bài tập khó. vì vậy chúng ta cần
Cuốn sách dựa trên chương trình Giải Tích 12 sau đó thâu tóm lại các dạng bài tập chính và cách giải các bài tập đó. Các bài toán được sắp xếp từ để đến khó
Sách - Cẩm nang ôn tập trọng tâm môn sinh học luyện thi tốt nghiệp THPT (dùng chung các bộ sgk hiện hành) - HA Bạn đọc thân mến! Chương trình sách giáo khoa mới
Kì thi Đánh giá tư duy năng lực của các trường đại học lớn như: Đại học Quốc gia Hà Nội (HSA), Đại học Quốc gia Thành phố Hồ Chí Minh (APT), Trường Đại học
Sách - Cẩm nang ôn tập trọng tâm môn sinh học luyện thi tốt nghiệp THPT (dùng chung các bộ sgk hiện hành) - HA Bạn đọc thân mến! Chương trình sách giáo khoa mới
Mỗi chương lại bao gồm những chuyên đề và dạng bài khác nhau giúp các em làm quen và hình thành phản xạ làm bài tập trắc nghiệm. Sách gồm 3 chương : CHƯƠNG I
Sách - Bài tập tiếng anh 12 Global Success (Kết nối tri thức) - HA Cuốn sách Bài tập Tiếng Anh 12 – Không đáp án được biên soạn theo Chương trình Giáo dục phổ
Phương Pháp Mới Giải Nhanh Bài Tập Trắc Nghiệm Hoá vô cơ Cuốn sách được biên soạn tỉ mỉ, cập nhật những phương pháp giải nhanh nhất, mới nhất các dạng bài tập hóa vô
THÔNG TIN CHI TIẾT - Tác giả : Nhóm tác giả - Nhà xuất bản : NXB Dân Trí - Kích thước : 21 x 30 cm - Số trang : 325 trang - Loại
Kì thi Đánh giá tư duy năng lực của các trường đại học lớn như: Đại học Quốc gia Hà Nội (HSA), Đại học Quốc gia Thành phố Hồ Chí Minh (APT), Trường Đại học
1. Bồi Dưỡng Học Sinh Giỏi Sinh Học 10 Cuốn sách được viết bám sát chương trình Sinh học lớp 10 phổ thông và chương trình sinh học lớp 10. Cuốn sách được trình bày
Tác Giả: Nhiều tác giả Số trang: 275/ cuốn Năm xuất bản: 2023 Khổ sách: 19x27cm Hình thức :bìa mềm
Combo Hướng Dẫn Học Và Làm Bài Ngữ Văn 10 - Tập 1 + tập 2(Bám Sát SGK Kết Nối Tri Thức Với Cuộc Sống) Trong giai đoạn đầu thực hiện chủ trương đổi mới
Sách - Các dạng nghị luận xã hội ngữ văn 9 (dành cho học sinh lớp 9 vào lớp 10 theo cấu trúc đề thi năm 2025) - HA Quý thầy cô và các em
Nội dung gồm có: Phần I: Tuyển chọn đề thi chọn đội dự tuyển thi học sinh giỏi quốc gia Phần II: Tuyển chọn đề thi chọn học sinh giỏi cấp tỉnh, thành phố
Sách - Sách tham khảo lí 12 theo chương trình mới (dùng chung các bộ sgk hiện hành) + ha Tiếp theo cuốn Sách tham khảo VẬT LÍ 10, 11, với tinh thần giúp đỡ
Combo sách tham khảo Toán 12 + Vật Lí 12 + Hóa Học 12 (Theo chương trình GDPT mới) (HA-MK) Tác giả: Nhiều tác giả Công ty phát hành: nhà sách Hồng Ân Số trang:
Biên soạn: PGS. TS. Nguyễn Xuân Trường, ThS. Quách Văn Long, ThS. Hoàng Thị Thúy Hương\ - Số trang: 367 TRANG / CUỐN - Năm xuất bản 2023 - Nhà xuất bản: Đại học quốc
Combo sách tham khảo Toán 12 + Vật Lí 12 + Hóa Học 12 (Theo chương trình GDPT mới) (HA-MK) Tác giả: Nhiều tác giả Công ty phát hành: nhà sách Hồng Ân Số trang:
SÁCH - hướng dẫn học tốt hoá học 11(dùng chung cho các bộ sgk hiện hành) Nhằm giúp đỡ các em học giỏi môn Hoá học ở cấp THPT một cách dễ dàng,tác giả đã
Cuốn sách Giải thích chuyên đề thi vào 10 chuyên Lý nằm trong bộ sách Giải thích chuyên đề thi vào 10 chuyên. Cuốn sách giúp học sinh củng cố lại kiến thức trọng tâm và mở
Combo Hướng Dẫn Trả Lời Câu Hỏi Và Bài Tập Vật Lí 11 + Đề Kiểm Tra, Đánh Giá Vật Lí 11 (Bám Sát SGK Kết Nối) (Bộ 2 Cuốn) 1. Đề Kiểm Tra, Đánh
1 - Sách Tham Khảo Hóa Học 11 (Dùng Chung Cho Các Bộ SGK Hiện Hành) 2 - Bồi Dưỡng Học Sinh Giỏi Hoá Học 11 Theo Chuyên Đề - Tập 1 Hoá Học Đại
CAM KẾT VÀ BẢO HÀNH - Đảm bảo và cam kết sản phẩm đúng với mô tả và hình ảnh của shop. - Đổi trả sản phẩm miễn phí trong vòng 7 ngày nếu sản
Chi tiết: Loại bìa: Bìa mềm Năm: 2025 Tổng quan, cấu trúc và mục tiêu: Bộ đề chuyên sâu ôn thi tốt nghiệp THPTQG từ năm 2025 cho lớp 12: Cập nhật theo
Đột Phá Tư Duy Kì Thi Tốt Nghiệp THPT - Môn Sinh Học SÁCH ĐỘT PHÁ TƯ DUY KÌ THI TỐT NGHIỆP THPT MÔN TOÁN Theo cấu trúc định hướng thi mới năm 2025 của
SÁCH ĐỘT PHÁ TƯ DUY KÌ THI TỐT NGHIỆP THPT MÔN VẬT LÍ Theo cấu trúc định hướng thi mới năm 2025 của BGD Với cấu trúc đề thi mới, các dạng câu hỏi mới
+ Chương trình chuẩn kết hợp theo cả 3 bộ sách: Cánh Diều, Kết Nối Tri Thức với Cuộc sống và Chân trời sáng tạo + Hệ thống kiến thức rõ ràng theo 23 chủ
Nội dung gồm có: Chương 1. Vật lí nhiệt Chương 2. Khí lí tưởng Chương 3. Từ trường Chương 4. Phản ứng hạt nhân - Phân hạch và nhiệt hạch Tác giả: Nguyễn
Các em học sinh lớp 12 thân mến! Học là một quá trình rèn luyện vất vả nhất của đời người. Điều gì vất vả mới có được, thì đó chính là điều mình quý
Trong bối cảnh hội nhập quốc tế, việc học ngoại ngữ, đặc biệt là tiếng Anh, trở nên thiết yếu hơn bao giờ hết. Tiếng Anh không chỉ giúp chúng ta nâng cao năng lực
Nội dung gồm có: Chương 1. Dao động cơ Chủ đề 1. Dao động điều hòa Chương 2. Sóng Chủ đề 2. Sự truyền sóng cơ và các đại lượng đặc
sách - luyện thi cấp tốc môn tiếng anh (dùng chung các bộ sgk hiện hành) Cuốn sách bao gồm các chuyên đề :Ngữ pháp, Từ vựng, Ngữ âm, Kĩ năng giao tiếp, Kĩ năng
Nhằm giúp giáo viên có thêm tài liệu tham khảo trong việc bồi dưỡng, rèn luyện năng khiếu cho học sinh giỏi và giúp các em học sinh có tài liệu tự nâng cao kiến
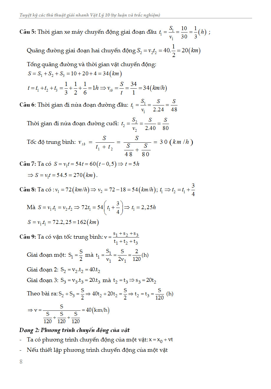
Tuyệt Kỹ Các Thủ Thuật Giải Nhanh Vật Lý 10 Sách tham khảo là bạn đồng hành không thể thiếu đối với các em học sinh. Đặc biệt là các em cuối cấp.Để giúp các
Cuốn sách “500+ bài tập Hoá học 10: Kiến thức và kĩ năng mấu chốt" bám sát Chương trình Giáo dục phổ thông 2018, nhằm giúp các em tổng kết, hiểu sâu lí thuyết và
ách - Những bài văn đạt giải học sinh giỏi cấp tỉnh - thành phố - toàn quốc (dành cho học sinh thpt) - HA Các em học sinh thân mến! Cuốn sách Những bài
Đây là cuốn sách được biên soạn theo tinh thần thi mới của Bộ Giáo dục và Đào tạo, theo cấu trúc đề thi 3 phần: Kiểm tra kiến thức (câu 1); Nghị luận xã
Sách - Bồi dưỡng học sinh giỏi tiếng anh 10 (dùng chung các bộ sgk hiện hành) - HA Các em học sinh thân mến! Quyển sách “BỒI DƯỠNG HỌC SINH GIỎI TIẾNG ANH 10”
MÔ TẢ SẢN PHẨM Từ Vựng IELTS 8.0 - Từ Vựng Đắt Để Đạt Điểm Cao 4 Kỹ Năng là cuốn sách tổng hợp 15 chủ đề Từ vựng chất lượng giúp bạn đạt điểm
MÔ TẢ SẢN PHẨM Từ Vựng IELTS 8.0 - Từ Vựng Đắt Để Đạt Điểm Cao 4 Kỹ Năng là cuốn sách tổng hợp 15 chủ đề Từ vựng chất lượng giúp bạn đạt điểm
Take Note Toán lớp 10 – Hiểu nhanh, nhớ lâu, áp dụng tốt Take Note Toán lớp 10 – Tổng hợp kiến thức: Hiểu nhanh, nhớ lâu! là một cuốn sách đồng hành không thể
GIỚI THIỆU SÁCH “COMBO BỒI DƯỠNG HỌC SINH GIỎI VẬT LÍ 10” là bộ sách dùng cho học sinh khá giỏi, học sinh các lớp chuyên Vật lí. Về cấu trúc, mỗi cuốn sách đều
Cuốn sách Giải thích chuyên đề thi vào 10 chuyên Tiếng Anh nằm trong bộ sách Giải thích chuyên đề thi vào 10 chuyên. Cuốn sách giúp học sinh củng cố lại kiến thức trọng
Tác Giả: Nhiều tác giả Số trang: 220 Năm xuất bản: 2022 Khổ sách: 19x27cm Hình thức :bìa mềm NXB: NXB Đại học quốc gia Hà Nội Giới Thiệu
500 Bài Toán Chọn Lọc Lớp 10 (Dùng Chung Cho Các Bộ SGK Hiện Hành) 500 Bài Toán Chọn Lọc Lớp 10 (Dùng Chung Cho Các Bộ SGK Hiện Hành) được biên soạn theo chuẩn
Bồi Dưỡng Học Sinh Giỏi Địa Lí 12 (Biên Soạn Theo Chương Trình Giáo Dục Phổ Thông Mới) Sách Bồi dưỡng học sinh giỏi Địa lí 12 được biên soạn để dùng làm tài liệu
👁️ 14 | ⌚2025-10-07 08:27:06.951
Vật lý lớp 10 - Bài 5: Tốc độ và vận tốc - Kết nối tri thức
Những quyển sách luyện thi HSG Vật Lý Quốc Gia (phần 3) #shorts #hsgvatli
Phương pháp giải bài tập cộng vận tốc, vận tốc tổng hợp( vật lí 10 KNTT, CTST, CD)
#15: Giải nhì vật lý quốc gia - 5 quy tắc mình luôn áp dụng
Nếu làm được điều này, bạn có khả năng tập trung cực hiếm | Dr Vitamin #suckhoe #shorts #fyp
Vì sao Môn vật lý là đáng sợ nhất #shorts

Vật lý lớp 10 - Bài 5: Tốc độ và vận tốc - Kết nối tri thức
Những quyển sách luyện thi HSG Vật Lý Quốc Gia (phần 3) #shorts #hsgvatli
Phương pháp giải bài tập cộng vận tốc, vận tốc tổng hợp( vật lí 10 KNTT, CTST, CD)
#15: Giải nhì vật lý quốc gia - 5 quy tắc mình luôn áp dụng
Nếu làm được điều này, bạn có khả năng tập trung cực hiếm | Dr Vitamin #suckhoe #shorts #fyp
Vì sao Môn vật lý là đáng sợ nhất #shorts

Chất Vải Tici , Mát, Ít Nhăn, Cổ Áo Chui BÁN LẺ GIÁ SỈ Chú Ý Khi Đặt Hàng Nhớ Chọn Lấy Mã Miễn Phí Vận Chuyển Và Áp Dụng Mã Miễn Phí Vận Chuyển
️BẠN MUỐN CÓ MỘT TRANG PHỤC PHÙ HỢP KHI ĐI LỄ CHÙA ??? Có Đủ Các Mẫu Mới Nhất Hiện Nay Đáp Ứng Mọi Yêu Cầu Của Bạn : Đẹp và Chất Lượng Vải Loại
Mẫu đồ Lam SIZE 2 : Cao : 1m5 - 1m6 Nặng : 45kg - 55kg SIZE 3 : Cao : 1m6 - 1m7 Nặng : 55kg - 65kg SIZE 4 : Cao : 1m7
️BẠN MUỐN CÓ MỘT TRANG PHỤC PHÙ HỢP KHI ĐI LỄ CHÙA ??? Có Đủ Các Mẫu Mới Nhất Hiện Nay Đáp Ứng Mọi Yêu Cầu Của Bạn : Đẹp và Chất Lượng Vải Loại
BÁN LẺ GIÁ SỈ Chú Ý Khi Đặt Hàng Nhớ Chọn Lấy Mã Miễn Phí Vận Chuyển Và Áp Dụng Mã Miễn Phí Vận Chuyển Bạn Nhé !! Hàng Shop Gửi Đi Cho Khách Gói
Kích Thước Mẫu Lãnh Tụ Đo Trực Tiếp Lên Áo Và Quần,Các Bạn Xem Chi Tiết Đo Này Đễ Chọn Size Chính Xác Hơn Ah. Size 1 Đo Từ Vai Xuống Vạc Áo 69cm; Quần
Thành phần Dầu khoáng chất, trilsononaoin, cetearyl ethylhexanoat, isopropyl myristat, vitamin A, tinh dầu hạt hướng dương, vitamin E, tinh dầu cúc la mã, tinh dầu oải hương, tinh dầu lá hương thảo, chiết xuất
Bình đựng dầu ăn thủy tinh LocknLock 550ml CKO208, Hàng chính hãng, nắp mở tự động, miệng bình rộng - JoyMall - Thương hiệu: Chính hãng LocknLock - Mã SP: CKO208IVY: màu ngà / CKO208GRY:
Cuốn Sách Về Tâm Lý Kỹ Năng Sống Hay- I'm OK You're OK - Tôi Ổn Bạn Ổn I’m Ok – You’re Ok xuất bản lần đầu tiên năm 1969, liên tục giữ vị trí
The Wedding Planner A day to remember . . . Faith Ferguson is one of New York’s most sought after wedding planners. Realizing dreams and making magic happen are part of why Faith loves her
Hộp 24 Bút Lông Màu Acrylic Markers 2 Đầu - Colokit ACM-C002 với thiết kế đầu BROAD tiện lợi và đầu BRUSH linh hoạt đáp ứng được đa dạng nhu cầu sử dụng. Bút màu
Giá bộ: 228.000 VNĐ ------------- Công ty phát hành: First News Tác giả: Karen Casey Ngày xuất bản: 2020 Kích thước: 14.5 x 20.5cm Nhà xuất bản: Nhà Xuất Bản Tổng hợp TP.HCM Loại bìa:
Sống thông minh - Kiểm soát sự phân tâm trong thời đại số và tận hưởng cuộc sống trọn vẹn Công ty phát hành: Thái Hà Tác giả: Brian Solis Số trang: 348 Nhà
Bạn có đang gặp khó khăn với bất kỳ điều nào sau đây? - Tập trung - Sự trì hoãn - Sự lo lắng - Lòng tự trọng - Hay quên - Khả năng sáng
“Hành trình nhân loại: Nguồn gốc của thịnh vượng và bất bình đẳng” được viết bởi Oded Galor - một trong những nhà kinh tế có ảnh hưởng nhất trong lĩnh vực tăng trưởng
Hành Trình Thức Tỉnh - Tạ Minh Tuấn Hành trình thức tỉnh ghi lại những giác ngộ của tác giả Tạ Minh Tuấn trong hành trình đi tìm lẽ thực, những trăn trở trong tâm
Combo Hành Tinh Của Một Kẻ Nghĩ Nhiều + Vẻ Đẹp Của Sự Cô Đơn (Bìa Mềm) (Bộ 2 Cuốn) 1. Hành Tinh Của Một Kẻ Nghĩ Nhiều “Đó là mùa hè năm 2020, mùa
Combo Thay Câu Hỏi - Đổi Cuộc Đời + Khi Ta Thay Đổi Thế Giới Sẽ Đổi Thay (Bộ 2 Cuốn) 1. Thay Câu Hỏi - Đổi Cuộc Đời Thay Câu Hỏi - Đổi Cuộc
Bộ sách "Chơi cờ vua cùng bé" gồm 3 cuốn: 1. “CỜ VUA – NHỮNG BƯỚC ĐI ĐẦU TIÊN CỦA KIỆN TƯỚNG” là một tài liệu tuyệt vời với hơn 80 chủ đề cơ bản, từ
Giá bộ: 206.000 VNĐ -------------- 1. HÀNH TRÌNH VỀ PHƯƠNG ĐÔNG Tác Giả: Nhiều tác giả Công ty phát hành: First News - Trí Việt Ngày phát hành: 2022 Số trang: 256 Kích thước: 14.5