✨NÂNG CAO VÀ PHÁT TRIỂN ĐẠI SỐ 9_KV












Cuốn sách gồm 4 chương và 3 chuyên đề: Chương I: Căn bậc hai - Căn bậc ba Chương II: Hàm số bậc I Chương III: Hệ hai phương trình bậc nhất hai ẩn Chương IV: Phương trình bậc hai một ẩn Chuyên đề I: Phương trình quy về bậc 2 Chuyên đề II: Tìm giá trị lớn nhất và giá trị nhỏ nhất Chuyên đề III: Bất đẳng thức Cuốn sách Nâng Cao Và Phát Triển Đại Số 9 sẽ trình bày cụ thể dễ hiểu về lý thuyết và các dạng bài tập, ví dụ để bạn đọc có thể nâng cao phát triển kiến thức Đại số.




Sinh Ra Là Một Bản Thể Đừng Chết Như Một Bản Sao (Tái Bản ) Nếu câu trả lời là "CÓ" thì đã đến lúc bạn nên đọc Sinh ra là một bản thể, đừng chết
Combo 2 Quyển Giúp Bạn Quản Lí Cuộc Sống Cá Nhân: 40 Thói Quen Xấu Cần Vứt Bỏ + 50 Bài Học Cơ Bản Để Trở Thành Người Lịch Thiệp "Nhắc tới Tokio Godo hẳn
VÀ RỒI TÍN GẬY ĐÃ ĐƯỢC TRAO ĐI Mất mẹ từ khi còn rất nhỏ, Yuko sống với bố cho tới khi học lớp Hai, cô Rika xuất hiện. Những tưởng từ đây sẽ được
ENNEAGRAM CĂN BẢN Enneagram là một hệ thống tính cách đầy năng lượng và linh hoạt, miêu tả chín mô hình cơ bản khác biệt nhau về cách suy nghĩ, cảm xúc và hành động.
Combo làm chủ chính mình : Sức mạnh tiềm thức - The power of your subconscious mind + Lời từ chối hoàn hoàn - No the power a positive - Tặng kèm Postcard GREEN LIFE
Thay Đổi Cuộc Sống Với Nhân Số Học Nhân Số Học - Numerology là một môn học nghiên cứu về sự tương quan giữa những con số trong ngày sinh hay cái tên của mỗi người
Thông Điệp Của Nước Thông điệp của nước có khả năng thay đổi một cách sâu sắc thế giới quan của bạn. Tiến sĩ Masaru Emoto phát hiện rằng những tinh thể hình thành từ
Combo Từ Giận Dữ Đến Bình An + Từ Nước Mắt Đến Nụ Cười (Bộ 2 Cuốn) Cuộc sống mang đến cho con người nhiều trạng thái cảm xúc khác nhau, có cả vui buồn,
Combo 5 Nguyên Tắc Thép và 15 Thuật Bán Hàng Thành Công + Hướng Nội Sức Mạnh Tiềm Ẩn Trong Bán Hàng + Những Bài Học Đắt Giá Trong Bán Hàng 5 Nguyên Tắc Thép
Hiệu ứng Telomere -Giải pháp đột phá để sống trẻ, khỏe, và ngăn ngừa lão hóa ------------ Việc phát hiện ra telomere ở đầu mút nhiễm sắc thể đưa tiến sĩ Elizabeth Blackburn, tác giả
Hiệu ứng Telomere -Giải pháp đột phá để sống trẻ, khỏe, và ngăn ngừa lão hóa ------------ Việc phát hiện ra telomere ở đầu mút nhiễm sắc thể đưa tiến sĩ Elizabeth Blackburn, tác giả
Bộ sách sức mạnh: Sức Mạnh Của Thói Quen - Sức Mạnh Của Sự Công Nhận - Sức Mạnh Của Thói Quen Chìa khoá quan trọng nhất để mở cánh cửa thành công chính là
Tứ Trụ còn gọi là Tử Bình hay Bát Tự là một loại thuật số căn cứ vào thiên can địa chi của giờ, ngày, tháng, năm, sinh, để luận ngũ hành hơn kém và
Những Bí Quyết Cho Một Cuộc Sống Chất Lượng,Lành Mạnh: Ăn Bẩn Sống Lâu + Sống Lành Để Trẻ ( Cách Thức Tăng Cường Đề Kháng, Sống Khỏe, Trẻ, Đẹp) 1. Ăn Bẩn Sống Lâu
Cuộc Dịch Chuyển Đại Dương Xanh Nếu Chiến lược đại dương xanh đã gợi cho các nhà quản trị hướng đi sáng tạo, đổi mới cho sự phát triển thì Cuộc dịch chuyển đại dương
Chọn Nghề Bạn Yêu – Yêu Nghề Bạn Chọn Theo bạn đâu là mục đích của công việc? Câu trả lời phổ biến nhất có lẽ là “để tìm kiếm niềm vui trong cuộc sống”.
Combo Sách Kỹ Năng Sống: Sức Mạnh Tiềm Thức + Ba Người Thầy Vĩ Đại - (2 Cuốn Sách Kỹ Năng Dành Cho Bạn/ Tặng Kèm Postcard Greenlife) Bất kể bản thân bạn có gặp
Combo Đừng Bao Giờ Chia Đôi Lợi Ích Trong Mọi Cuộc Đàm Phán + Smart Choices - Những Lựa Chọn Thông Minh (Bộ 2 Cuốn) Đừng bao giờ chia đôi lợi ích trong mọi cuộc
Bank 4.0 (Tái Bản 2022) ------------ Cuốn sách là phần cuối cùng trong loạt sách về ngân hàng, cuốn sách Bank 4.0 khám phá tương lai của các ngân hàng giữa sự phát triển
Con Cừu Của Schrödinger - Tập 1 Nhân vật chính trong Con cừu của Schrödinger là một nhân viên văn phòng tên Đinh Tuyết Dương. Tuy vẻ ngoài bình thường không có gì đặc biệt,
Cuốn sách là phần cuối cùng trong loạt sách về ngân hàng, cuốn sách Bank 4.0 khám phá tương lai của các ngân hàng giữa sự phát triển của công nghệ và nêu bật những
Combo Kĩ Năng Sống Cho Mọi Người :Thức Tỉnh Mục Đích Sống + Sức Mạnh Của Ngôn Từ / Kĩ Năng Sống Hữu Ích Thức Tỉnh Con Người Bạn ( Tặng kèm Bookmark Happy Life)
MỘT NỬA CỦA 13 LÀ 8 Cuốn sách kỹ năng tư duy sẽ trả lời những câu hỏi cơ bản về việc ý tưởng sinh ra từ đâu, tại sao có người lại nghĩ được
Sức Mạnh Tiềm Thức Là một trong những quyển sách về nghệ thuật sống nhận được nhiều lời ngợi khen và bán chạy nhất mọi thời đại, Sức Mạnh Tiềm Thức đã giúp hàng triệu độc giả
Trốn Thoát Tự Do ------------ Tự do có ý nghĩa như thế nào với con người hiện đại? Tự do của con người đã, đang và sẽ luôn là một vấn đề nóng hổi,
Làm Thế Nào Để Đọc Sách Hiệu Quả “Làm thế nào để đọc sách hiệu quả?” là cuốn sách dành cho tất cả mọi người, là cuốn sách đầu tiên nên đọc trước bất kỳ
The Magic - Phép Màu (Tái Bản 2011)
Combo Bạn Đắt Giá Bao Nhiêu + Khí Chất Bao Nhiêu Hạnh Phúc Bấy Nhiêu (2 Cuốn) (Tái bản 2019 - Tặng kèm bookmark) 1. Bạn Đắt Giá Bao Nhiêu - Tái bản 2019 Câu
Combo 2 Cuốn :Sức Mạnh Của Những Thay Đổi Tâm Lí Tinh Tế + Không Nỗ Lực Đừng Tham Vọng ( Những Cuốn Sách Giúp Bạn Vượt Qua Giới Hạn Của Bản Thân ) 1.Sức
How Brands Grow - Con Đường Tăng Trưởng Thương Hiệu - Ứng Dụng Nghiên cứu từ các thị trường mới nổi, dịch vụ, hàng tiêu dùng, B2B và thương hiệu xa xỉ Nội dung cuốn
Combo Sách Kỹ Năng Sống Làm Thay Đổi Cuộc Sống: Tôi Đi Tìm Tôi + Đời Ngắn Đừng Ngủ Dài (Tái Bản) / Sách Tư Duy Kỹ Năng Sống Hay (Tặng Kèm Bookmark Thiết Kế)
Combo Sách Kỹ Năng Thay Đổi Cuộc Đời Bạn: Làm Chủ Cuộc Chơi, Thay Đổi Cuộc Đời + 13 Nguyên Tắc Nghĩ Giàu Làm Giàu - Think And Grow Rich (Tái Bản) / thay đổi
1. 7 Thói Quen Của Bạn Trẻ Thành Đạt (Tái Bản 2019) Tuổi thiếu niên và trưởng thành là tuổi đẹp nhất và quan trọng nhất của đời người. Đây cũng là lứa tuổi mà
Combo Tư Duy Lãnh Đạo Hành Động Lãnh Đạo + Khác Biệt Hay Là Chết (Bộ 2 Cuốn) Nhiều nhà chuyên môn đang bắt đầu cảm thấy họ đã sẵn sàng để bắt đầu thăng
365 - Những Người Lạ Quen Thuộc Trong cuốn sách 365 - Những Người Lạ Quen Thuộc, nhóm 365 chia sẻ về những gì đã trải qua trong 5 năm từ ngày thành lập đến
Ứng xử thông minh lập trình sự nghiệp Kĩ năng giao tiếp của bạn có đạt yêu cầu không? Gần đây một tờ báo đã đặc biệt nhắc tới một cô gái làm việc trong
Phù Thủy Sàn Chứng Khoán (Thế Hệ Mới) Cuốn sách gồm một loạt các cuộc phỏng vấn với các nhà giao dịch thành công và nổi tiếng nhất, với nhiều chi tiết nhất về câu
Sống thông minh - Kiểm soát sự phân tâm trong thời đại số và tận hưởng cuộc sống trọn vẹn Công ty phát hành: Thái Hà Tác giả: Brian Solis Số trang: 348 Nhà
Hành Trình Thức Tỉnh - Tạ Minh Tuấn Hành trình thức tỉnh ghi lại những giác ngộ của tác giả Tạ Minh Tuấn trong hành trình đi tìm lẽ thực, những trăn trở trong tâm
Hòng chạy thoát khỏi một đội quân không khoan nhượng, Todd bế Viola đang trọng thương đến Haven và trao cô ngay vào tay của kẻ thù tồi tệ nhất, thị trưởng Prentiss. Ngay
Combo 2 cuốn: Harvard Bốn Rưỡi Sáng+ Nhà Giả Kim (Kỹ Năng Mềm) 1. Harvard Bốn Rưỡi Sáng Harvard bốn rưỡi sáng sử dụng hình ảnh Harvard như một biểu tượng xuyên suốt, kể lại
Combo 2 cuốn sách kĩ năng - tư duy sống hay: Làm Người Thú Vị + Tự Luyện Cách Tư Duy/ Bộ sách rèn luyện cách tư duy, cách suy nghĩ cho bạn Làm Người
Combo Sách Sống Hết Mình: Khi Bạn Đang Mơ Thì Người Khác Đang Nỗ Lực + Mỗi Lần Vấp Ngã Là Một Lần Trưởng Thành - (Sách Kỹ Nắng Sống / Tặng Kèm Postcard Greenlife)
Đường Đến Nhân Cách ------------ Chúng ta sống trong một xã hội luôn khuyến khích chúng ta phải nghĩ về cách có cơ nghiệp lớn nhưng lại không màng đến việc nhiều người trong chúng
1 MẸO QUẢN LÍ TÀI CHÍNH SAU KẾT HÔN là vấn đề vô cùng quan trọng đối với bất cứ gia đình nào. Để xây dựng được một tổ ấm vững chắc thì các thành
1 TIỀN KHÔNG BAO GIỜ LÀ ĐỦ Tiền không bao giờ là đủ là cuốn sách chiến lược tài chính làm thay đổi nhận thức của bạn về chuyện tiền bạc, rất phù hợp với
Combo Kỹ Năng Sống Dành Cho Tuổi Trẻ: Mỗi Lần Vấp Ngã Là Một Lần Trưởng Thành + Khi Bạn Đang Mơ Thì Người Khác Đang Nỗ Lực (2 Cuốn Sách Tạo Cảm Hứng Hay
Chúng tôi xin gửi đến các bạn đọc combo 2 cuốn sách hay nhất về kĩ năng sống: Sức Mạnh Tiềm Thức + Dám Nghĩ Lớn Sức Mạnh Tiềm Thức Một quyển sách khơi dậy
Combo 2 cuốn sách hay về kĩ năng sống: Trở Thành Người Ảnh Hưởng + Sức Mạnh Tiềm Thức Trở Thành Người Ảnh Hưởng Khi còn bé, bạn muốn sau này lớn lên mình sẽ
Bắt Đầu Với Câu Hỏi Tại Sao? ( Tái Bản ) "Lần đầu tiên khi tôi khám phá ra sức mạnh của lý do TẠI SAO là khi tôi cần đến nó trong cuộc đời
Marketing Theo Phong Cách Sao Kim Marketing theo phong cách sao Kim là đầu sách, công trình nghiên cứu chuyên sâu nhất về khai thác tính nữ trong mỗi khách hàng tiềm năng của chúng
“Thầy cô giáo hạnh phúc sẽ thay đổi thế giới” - bộ sách bạn đang cầm trên tay là một món quà đặc biệt quan trọng - hay nói cách khác là một sự trao
Tâm Lý Học Thành Công
Trí tuệ xúc cảm ứng dụng trong công việc là cuốn sách quản trị kinh doanh không thể bỏ qua cho bất cứ nhà lãnh đạo nào. Cuốn sách chỉ cho ta biết các vấn
Combo 2 Cuốn Giúp Bạn Trẻ Thay Đổi Tư Duy Nhận Thức Thành Công: Dám Bị Ghét + Sức Mạnh Tiềm Thức 1.Dám Bị Ghét Các mối quan hệ xã hội thật mệt mỏi. Cuộc
Diễn thuyết không chỉ là kỹ năng trình bày trước đám đông mà còn là một môn nghệ thuật đầy quyền năng. Với cuốn sách Nghệ thuật diễn thuyết để thành công, tác giả Jerry
Tác giả Carol S Dweck Người Dịch Hồ Hạnh Hảo NXB NXB Lao Động - Xã Hội Năm XB 2018 Trọng lượng (gr) 500 Kích thước 13 x 20.5 Số trang 480 Hình thức Bìa
Sự lên ngôi của content là một điều tất yếu, là xu hướng lâu dài mà không ai có thể đứng ngoài. Dù bạn muốn tiến xa ở bất cứ vị trí nào trong Digital
- Những chia sẻ về phong cách sống, tư tưởng,tư duy của người phụ nữ hiện đại trong công việc và cuộc sống. Bao gồm các nội dung: + Tác giả nói về phong cách
MINH TRIẾT - CON ĐƯỜNG NHÂN SINH Cuốn sách giúp mỗi người hiểu đời, thấu đạo. Con đường mà tất cả nhân sinh đều trải qua: Sơ khai, Lý trí, Thông thái, Hợp nhất. Từng
👁️ 24 | ⌚2025-10-07 20:55:09.958
PART 3 - HSG toán 9: Giải phương trình vô tỉ bằng pp nhân liên hợp - 2 nghiệm đẹp
HSG toán 9: Giải phương trình vô tỉ bằng pp nhân liên hợp - 1 nghiệm đẹp
Ôn tập kiến thức trọng tâm hệ thức lượng trong tam giác vuông Toán lớp 9 - Thầy Bùi Minh Mẫn
Hệ thức lượng trong tam giác vuông Bồi dưỡng HSG Toán 9 - Thầy Trần Ngọc Hà
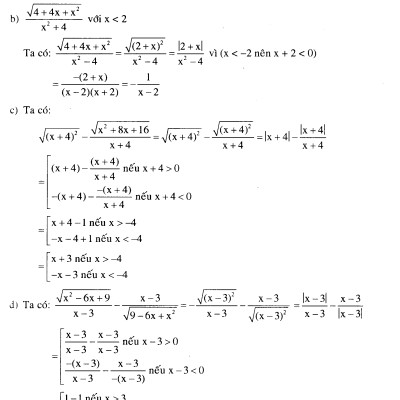
Toán NC lớp 9 Bài 2: Bài tập về Tính giá trị biểu thức
Toán NC lớp 9 Bài 1: Tính giá trị biểu thức chứa căn

PART 3 - HSG toán 9: Giải phương trình vô tỉ bằng pp nhân liên hợp - 2 nghiệm đẹp
HSG toán 9: Giải phương trình vô tỉ bằng pp nhân liên hợp - 1 nghiệm đẹp
Ôn tập kiến thức trọng tâm hệ thức lượng trong tam giác vuông Toán lớp 9 - Thầy Bùi Minh Mẫn
Hệ thức lượng trong tam giác vuông Bồi dưỡng HSG Toán 9 - Thầy Trần Ngọc Hà
Toán NC lớp 9 Bài 2: Bài tập về Tính giá trị biểu thức
Toán NC lớp 9 Bài 1: Tính giá trị biểu thức chứa căn

-New Design chuyên hàng thiết kế những mẫu chân váy đẹp, mới lạ, thanh lịch công sở, văn phòng, hẹn hò đều đẹp. -Sản phẩm được thiết kế bởi New Design và may tại nhà,
Công suất: 5W Điện áp: 220V/50Hz Màu ánh sáng: Trắng/Vàng Độ rọi: 700 lux - Đèn bàn LED Rạng Đông bảo vệ thị lực - Cần đèn linh hoạt điều chỉnh độ cao và góc
English Name :Screwdriver SoftFinish electric Định mức Thử nghiệm theo tiêu chuẩn IEC 60900. Ứng dụng Đối với công việc trong khu vực của các bộ phận trực tiếp lên đến 1.000 V AC.
Mã đặt hàng 00822 Size 3,5 Chiều dài (mm) 204
Thông tin sản phẩm Tên sản phẩm: D6317 Dung tích: 300ml Quy cách: 6 chiếc/bộ Xuất sứ: Pháp Sản xuất: Trung Quốc Chất liệu: - Thủy tinh - Thủy tinh sạch không chì, không chứa
Cuốn hồi ký Gia đình, bạn bè và đất nước là lời tự sự chân thành và sâu sắc của bà Nguyễn Thị Bình – nhà ngoại giao lỗi lạc, biểu tượng kiên cường của
Có Lẽ Bạn Nên Gặp Bác Sĩ Tâm Lý ------------ Có Lẽ Bạn Nên Gặp Bác Sĩ Tâm Lý Với vai trò là nhà trị liệu đồng thời phải tiến hành trị liệu, Lori
COMBO TRANH TRUYỆN EHON - NHỮNG NGƯỜI BẠN ĐỘNG VẬT CÙNG CÁC BẠN ĐỘNG VẬT DỄ THƯƠNG HỌC HỎI VỀ CUỘC SỐNG VÀ RÈN LUYỆN KỸ NĂNG CẦN THIẾT Trong cuộc sống hiện đại
Sinh Ra Là Một Bản Thể Đừng Chết Như Một Bản Sao (Tái Bản ) Nếu câu trả lời là "CÓ" thì đã đến lúc bạn nên đọc Sinh ra là một bản thể, đừng chết
tiết lộ nguồn gốc của phần lớn khoa học hiện đại về hoạt động buôn bán nô lệ xuyên Đại Tây Dương vào những năm 1700, cũng như vai trò của Thomas Edison với sự
Combo 2 Quyển Giúp Bạn Quản Lí Cuộc Sống Cá Nhân: 40 Thói Quen Xấu Cần Vứt Bỏ + 50 Bài Học Cơ Bản Để Trở Thành Người Lịch Thiệp "Nhắc tới Tokio Godo hẳn
- Bút marker chất lượng cao được thiết kế có thể vẽ nét và sắc màu rất mượt, tô êm và mịn, phù hợp với người mới học vẽ - Có thể vẽ được trên
VÀ RỒI TÍN GẬY ĐÃ ĐƯỢC TRAO ĐI Mất mẹ từ khi còn rất nhỏ, Yuko sống với bố cho tới khi học lớp Hai, cô Rika xuất hiện. Những tưởng từ đây sẽ được
Sổ bìa bồi kẻ ngang B5 300 trang Hồng Hà Subject - 4536 phù hợp cho học sinh, sinh viên, văn phòng ghi chép thông tin cần thiết. Bề mặt giấy láng mịn, viết êm
Tua vit cách điện Wiha 42376 Kích thước bit: SL 2,5 Chiều dài lưỡi: 65mm Tổng chiều dài:167mm Phù hợp với tiêu chuẩn: VDE
Mã đặt hàng :01290 Size : T10 Chiều dài : 191 mm
Bộ Sách Đắc Nhân Tâm + Quẳng Gánh Lo Đi Và Vui Sống + Nghệ Thuật Nói Trước Công Chúng 1. Đắc Nhân Tâm - Cuốn sách hay nhất mọi thời đại đưa bạn đến
Những Người Gần Như Hoàn Hảo - Sự Thật Về Phép Màu Bắc Âu Một bức tranh đa sắc và hóm hỉnh đã hiện lên, làm bừng tỉnh sự thật về vùng đất có
ENNEAGRAM CĂN BẢN Enneagram là một hệ thống tính cách đầy năng lượng và linh hoạt, miêu tả chín mô hình cơ bản khác biệt nhau về cách suy nghĩ, cảm xúc và hành động.
Món Quà Của Linh Hồn - Sức Mạnh Chữa Lành Của Những Thử Thách Trong Cuộc Sống Dù con đường của bạn có bằng phẳng hay gập ghềnh, dù cuộc đời của bạn có